無限級数の解法研究 Quick Drills [Math III] Limits (Infinite Series) Once you have
(2973件)
Pontaパス特典
サンキュー配送
6000円(税込)
60ポイント(1%)
Pontaパス会員ならさらに+1%ポイント還元!
送料
(
)
2962
配送情報
お届け予定日:2026.04.27 8:44までにお届け
※一部地域・離島につきましては、表示のお届け予定日期間内にお届けできない場合があります。
ロットナンバー
5594389498
お買い物の前にチェック!
Pontaパス会員なら
ポイント+1%
ポイント+1%
商品説明



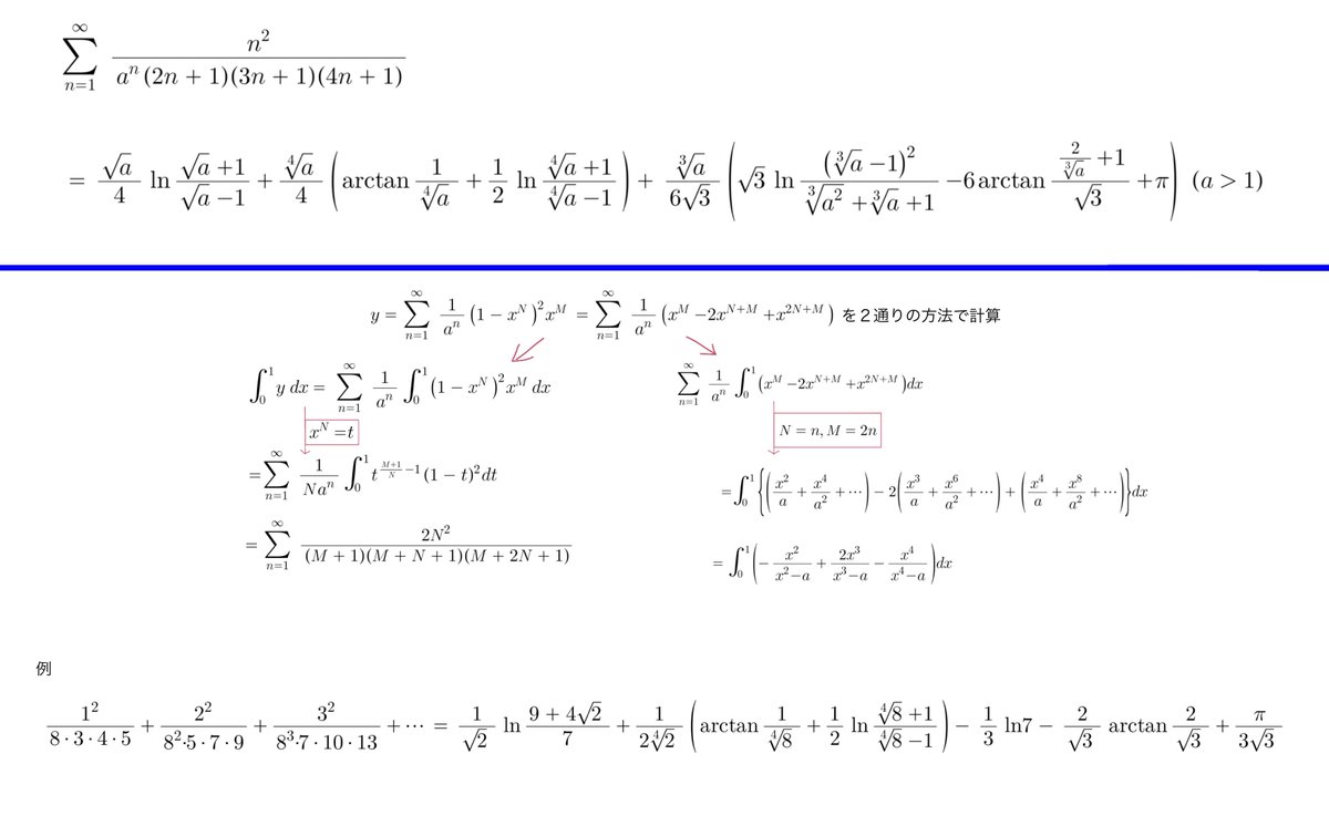
無限級数に関する過去50年間の重要問題420題を収録した参考書。- タイトル: 無限級数の解法研究- 著者: 河田直樹- 出版社: 聖文新社- ISBN: 978-4-7857-1160-6- 内容: 過去50年間の重要420題収録ご覧いただきありがとうございます。
| カテゴリー: | 本・雑誌・漫画>>>本>>>語学・辞書・学習参考書 |
|---|---|
| 商品の状態: | 目立った傷や汚れなし","細かな使用感・傷・汚れはあるが、目立たない |
| 配送料の負担: | 送料込み(出品者負担) |
| 配送の方法: | 佐川急便/日本郵便 |
| 発送元の地域: | 未定 |
| 発送までの日数: | 2~3日で発送 |
レビュー
商品の評価:




4.8点(2973件)
- たまcoro
- 小学校3年生の娘がプロフィール帳がほしいと言って、いろいろと探していました。しかし、すべておとなっぽい内容をかかせるものになっており、3年生にはふさわしくないなあと思っていたところに、いいものに出会えました。 小学校までで使用するにはベストな製品だと思います。 コクヨさん、GOOD。
- 津々69
- お部屋の中で、にげたきんぎょを探していく内容なのですが、そのお部屋のデザインや色づかいがおしゃれで可愛いです! 1歳のうちの子もきんぎょを指さしながら『ここ!』と言って楽しんでいます! LINEの着せ替えや色んなグッズ化もしていて、どれも可愛いです!
- t195
- 子供に読み聞かせたい 本です。 購入して良かった。
- yorkie-mimi
- おばけってみんなを怖がらせてびっくりさせるけど、このおばけはケーキを作るのが得意で、美味しい!ってびっくりさせたくて、日々ケーキ作りを頑張ってる、ほっこりするお話です! 大人も楽しめる内容になってるので、親子で楽しんでみては?
- sheco5
- 表紙のかわいい絵と、かわいい内容に惹かれ購入。わににカツラをかぶせる所で息子は大爆笑。気に入ってくれたようです。
- taiyou5374
- 1週間弱読み続けてみたところ、ある日突然2ページ目の黄色い背景のもいもいで笑うようになりました。それから毎日、2ページ目を見るたびに笑うわ喋るわ賑やかです。最近は他のページにも反応するようになりました。グズっている時に読むと泣き止みます。読んでも泣き止まないときはお腹すいているか抱っこしてほしいかのどちらかなので この本のおかげで娘が何を求めているのか分かりやすくなりました。笑
- うっぴー2570
- 小学2.4子供達がなかなか寝ないので、購入。 小学生に読み聞かせなんて、遅いかな? 幼児の時は、あまりしてあげられなかったので・・・ まだ、届いてないので、効果はわかりませんが、読み聞かせのために。
- nattsu1973
- 娘はバナナのページを見てバナナを気に入り実際に食べてくれるようになりました。 いろんなものがまんべんなく掲載されているので何かに興味を持つきっかけになってくれると思います。
- ミケら
- 近くの書店では欠品だったので、ネットで頼んだら 驚くほど早くびっくりでした。 書店に頼むより、ネットですね。ネット時代を痛感しました。
- モンパチ1414
- 2歳の息子が大好きなシリーズ。 絵のタッチがなんともいえずかわいいです! でもキャラクターっぽい媚びたかわいさでは ないのも、好きなところです。 今は絵や言葉の響きを楽しんでいますが、 もう少し大きくなったら ダジャレ?言葉遊びの楽しさもわかると思います。 長く楽しめそうです。
- taniguchi1
- 4歳の子供にぜがまれて購入です、とても気に入っていっしょにやろうといわれます。
- ハナハナ6458
- 2歳の子供用に購入しましたが まだ難しいようで 食いつきはイマイチでした。 もう少し大きくなったら 読ませたいと思います。
- AUS8
- 緩い感じが最高でした 子ども用に買ったつもりが、私が癒されてお気に入りの一冊になりました
すべて見る
お店の情報
7,367
連絡・応対
4.3
配送スピード
4.3
梱包
4.3










